欢迎来到星戈瑞荧光stargraydye!

EMAIL:stargraydye1016@qq.com
资讯信息当前位置:首页 > 资讯 > 资讯信息

花菁Cyanine和PEG系列改性的聚合物交联简述

时间:2023-03-06    阅读:1798    点赞:0

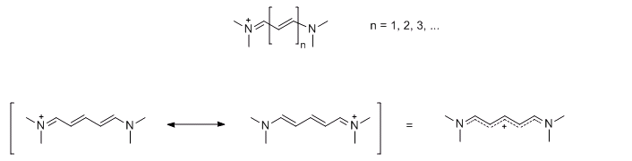
菁染料是近红外荧光染料中常用的一类荧光染料,由于细胞和组织的自发荧光在近红外波段小,因此在检测复杂生物系统时,近红外染料能提供高的特异性和灵敏度。同时,由于光波在近红外区段的组织透过性好。菁染料的摩尔吸光系数在荧光染料中高,Cy5 hydrazide, Cy5.5 alkyne 和Cy7 NHS ester 的吸收在近红外区背景非常低,是荧光强度高、稳定的长波长染料。适合于活体小动物体内成像代替放射性元素。Cy系列的荧光染料我们一般分为磺酸化菁染料(sulfonated cyanines)和非磺酸化菁染料(non-sulfonated cyanines)。他们的光谱性质基本相同,和蛋白、小分子修饰反应也几乎是一样的,不同的在于他们的溶解性,非磺酸化菁染料是脂溶性的,磺酸化菁染料是水溶性的,结构式上也会有些不同。

菁染料 

【Cyanine菁染料和PEG定制合成产品】:

星戈瑞荧光stargraydye有脂溶性Cyanine菁染料和水溶性Cyanine菁染料和聚乙二醇的交联产品,PEG末端链接各种常规基团和特殊基团,并接受产品定制服务。

 

定制产品Cy3/Cy5/Cy7近红外荧光染料和聚乙二醇PEG偶连产品,PEG末端链接氨基NH2/琥珀酰亚胺酯NHS/马来酰亚胺MAL/羧基COOH/生物素Biotin/醛基CHO/巯基SH/叠氮N3/DSPE/DPPE/DMPE/Alkyne/Cholesterol/Folate/4-ArmPEG/ 8-Arm PEG/纳米金(Au)等等。

CY 

特殊列表:

Cyanine3/Cyanine5/Cyanine7-PEG-Amine(NH2),        菁染料-聚乙二醇-氨基

Cyanine3/Cyanine5/Cyanine7-PEG-NHS,                      菁染料-聚乙二醇-琥珀酰亚胺酯

Cyanine3/Cyanine5/Cyanine7-PEG-Maleimide(MAL)    菁染料-聚乙二醇-马来酰亚胺

Cyanine3/Cyanine5/Cyanine7-PEG-Carboxylicacid(COOH)菁染料-聚乙二醇-羧基

Cyanine3/Cyanine5/Cyanine7-PEG-Biotin(Bio)            菁染料-聚乙二醇-生物素

Cyanine3/Cyanine5/Cyanine7-PEG-Aldehyde(CHO)     菁染料-聚乙二醇-醛基

Cyanine3/Cyanine5/Cyanine7-PEG-Thiol(SH)              菁染料-聚乙二醇-巯基

Cyanine3/Cyanine5/Cyanine7-PEG-Azide(N3)              菁染料-聚乙二醇-叠氮

Cyanine3/Cyanine5/Cyanine7-PEG-DSPE          菁染料-聚乙二醇-二硬脂酰磷脂酰乙醇胺

Cyanine3/Cyanine5/Cyanine7-PEG-DPPE          菁染料-聚乙二醇-二棕榈酰磷脂酰乙醇胺

Cyanine3/Cyanine5/Cyanine7-PEG-Alkyne                     菁染料-聚乙二醇-炔烃

Cyanine3/Cyanine5/Cyanine7-PEG-Cholesterol               菁染料-聚乙二醇-胆固醇

Cyanine3/Cyanine5/Cyanine7-PEG-Folate                      菁染料-聚乙二醇-叶酸

Cyanine3/Cyanine5/Cyanine7-PEG-4-Arm PEG              菁染料-聚乙二醇-4臂PEG

Cyanine3/Cyanine5/Cyanine7-PEG-8-Arm PEG              菁染料-聚乙二醇-8臂PEG

Cyanine3/Cyanine5/Cyanine7-PEG-Au(纳米金)              菁染料-聚乙二醇-纳米金


0